배관의 압력 손실은 어떻게 계산해야 하는가?
새롭게 펌프를 신설할 때나 배관을 개조할 때, “배관의 압력 손실을 고려하는 것을 잊지 말아 주십시오.
배관에 유체가 흐르면 압력 손실이 발생합니다. 그 압력 손실을 무시한 설계를 해 버리면, 흐르고 싶은 유량이 흐르지 않는다고 하는 사태뿐만이 아니라, 유체의 캐비테이션에 의한 진동이나 배관에 붙이고 있는 계기류의 이상으로 연결되는 일도 있으므로 주의가 필요합니다.
압력 손실은 이하의 식(다루시∙와이즈바흐의 식)으로 나타낼 수 있도록, 배관 내의 유체의 유속의 제곱에 비례하기 때문에, 배관의 사이즈를 크게 하고, 유속을 낮추는 것으로 압력 손실을 저감할 수 있습니다.

h: 압력 손실(m), λ:관 마찰 계수, L:배관 길이(m), v:관 내 유속(m/s), D:배관 내경(m)

그러나 유체의 유속을 떨어뜨리기 위해 배관의 크기를 규격 밖으로 크게 하면 된다는 것은 아닙니다. 배관의 압력 손실은 어느 정도 유속을 낮추면 압력 손실이 거의 없다는 상태(배관 계통에 악영향이 없는 상태)이 되는 것입니다. 그 때의 이상적인 배관 사이즈를 설계시에 산출하는 것이 중요합니다.
그 때문에, 석유화학 플랜트등의 많은 배관이 존재하는 공장에서는, 플랜트 건설시에 배관 계통의 압력 손실을 검토해, 각 유체의 유량에 맞는 배관 사이즈를 선정하고 있습니다. 그렇게 함으로써 플랜트 건설비를 억제하고 경제적인 설계를 할 수 있게 됩니다.
배관의 압력 손실 계산법 소개
배관의 압력 손실의 산출은, 상기에서 나타낸 다루시∙와이즈바흐의 식을 기초로 생각해 갑니다.

h: 압력 손실(m), λ:관 마찰 계수, L:배관 길이(m), v:관 내 유속(m/s), D:배관 내경(m)
계산의 순서로서는, 우선 ➀ 레이놀즈수를 산출해, 흐름의 상태가, 층류인지 난류인지를 판단합니다. 그리고 ➁ 그 조건에 따라 관마찰계수 λ를 산출하고 ③다루시∙와이즈바흐의 (식 1)에서 산출하게 됩니다.

(1) 레이놀즈 수의 산출과 층류인지 난류인지의 판정
관마찰계수 λ는 흐름상태가 층류일 때와 난류일 때 계산방법이 바뀝니다.
층류인가 난류인가는, 무차원수 「레이놀즈수」에 의해 판단할 수 있습니다.

여기서 ρ : 밀도, v : 관내 유체 속도, d : 배관의 내면 치수, μ : 점도
Re가 그 값이 Re<2100이면, 그 유체는 "층류" 상태입니다 .
Re가 그 값이 Re>4000이면, 그 유체는 "난류" 상태입니다 .
2100<Re<4000의 범위내는, 난류와 층류가 섞인 상태가 되고 있습니다.
(
2) 층류의 경우의 관 마찰 계수 λ를 구한다
층류의 경우 관마찰계수 λ의 값은 레이놀즈수에 반비례하고 있어 매우 간단한 식으로 산출할 수 있습니다.

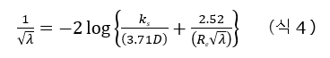
(3) 난류의 경우의 관 마찰 계수 λ를 구한다
난류의 경우 관마찰계수 λ의 값을 구하는 수식에는 수많은 수식이 존재하지만 아래의 콜브룩 화이트의 수식이 실용적으로 사용됩니다.

λ:관 마찰 계수, ks:입경 사이즈(mm), Re:레이놀즈 수, D:배관 내경(m)
이 식에서는, 배관내 표면에 있는 요철을, 내면에 부착한 등가 모래 입경 사이즈(기호 ks)로 상정하는 것으로, 실용적으로 관 마찰 계수를 산출할 수 있는 식으로 되어 있습니다. 언뜻 보면 복잡하게 보입니다만, 배관내가 매우 매끄러운 ks=0으로, Re=∞로 옮겨놓으면, 이하의 (식 5)가 됩니다.

이 식 3, 식 4, 식 5를 하나의 그래프로 한 것이, 「무디 선도」라고 불리는 그래프입니다. 이 그래프는 산업적으로 자주 사용됩니다. 세로축이 관마찰계수, 가로축이 레이놀즈수로 되어 있습니다.
층 유역에서는 식 3으로 계산되고, 난류 영역에서는 식 4로 계산합니다.

그림. 무디 선도
참조 : 유체 고체 수송 공학 핸드북 (발행 : 아사쿠라 서점)
식 4, 식 5에서 사용하는 ks의 값은 이하의 값을 참고로 수치를 대입해 보세요.
표. 등가 모래 입자 크기 ks의 값
|
관재질
|
·벽면 상태
|
ks(mm)
|
|
인발 구리관, 유리관
|
·새롭고 매끄러운 면
|
0.013~0.0015
|
|
인발 구리관, 이음매 없음 압연 롤관
|
·산세 표면
·얇은 관
·아연 도금
|
0.03
0.1
0.1~0.16
|
|
용접 강관
|
·새로운 배관(녹 없음)
|
0.1
|
|
오래된 강관
|
·균일하게 녹슨 배관
·몹시 물총이 붙은 심하게 녹이 붙어 있는
·오래 사용한
·가스 배관
··오래 사용한 오일계 배관
|
0.15
2~4
2~4
0.5
1.1~2.5
|
설계자는 배관계 전체의 압력 손실을 이미지해야 한다
압력 손실은 스트레이트한 배관만이 아니고, 배관의 형상이 확대관이나 분기관(티)이나 굽힘 배관(엘보)인 경우도, 스트레이트의 부분보다 많은 압력 손실을 발생하게 됩니다.

또한 배관뿐만 아니라 밸브와 그 유체가 통과하는 기기 모두에서도 마찬가지로 압력 손실이 발생합니다. 그 때문에, 이들 기기가 어느 정도의 압력 손실이 있는지를 어느 정도 예상해 계산해야 합니다.
즉, 전체 압력 손실(m)=직관부의 압력 손실(식 1~5)+굽힘관의 압력 손실+확대 축소에 의한 압력 손실+합류에 의한 압력 손실+밸브나 기기에 의한 압력 손실+… 한 압력 손실의 합계치가, 그 배관계 전체의 압력 손실이 되는 것입니다.
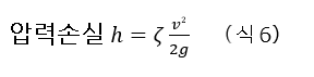
그 압력 손실은 어떻게 계산합니까?
각종 관로 형상에 의한 압력 손실을 계산하기 위해, 손실 계수 ζ(제타)를 이용하여 이하의 식 6으로 계산합니다. 각 형상에 따라 손실 계수 ζ의 계산 방법이 다릅니다. 그 산출 방법에 대해 몇 가지 소개하겠습니다.

(1) 급격하게 유로가 축소되는 경우



※C는 축소계수라고 하며, A2/A1의 값으로 수치가 아래 표와 같이 다릅니다.
표 면적비 A2 / A1의 축소 계수 값
|
A2/A1
|
0.1
|
0.2
|
0.3
|
0.4
|
0.5
|
0.6
|
0.7
|
0.8
|
0.9
|
|
C
|
0.61
|
0.62
|
0.63
|
0.65
|
0.67
|
0.7
|
0.73
|
0.77
|
0.84
|
(2) 축소하는 동안 분할이 있는 경우



※C는, A3/A1의 값으로 수치가 이하의 표와 같이 다릅니다.
표 면적비 A3 / A1의 축소 계수 값
|
A3/A1
|
0.1
|
0.2
|
0.3
|
0.4
|
0.5
|
0.6
|
0.7
|
0.8
|
0.9
|
|
C
|
C
|
232
|
51
|
20
|
9.6
|
5.2
|
0.77
|
0.85
|
0.92
|
A3<0.1×A1의 경우는, 이하의 손실 계수ζ를 사용합니다.
표 A3 <0.1A1의 경우의 손실 계수 ζ의 값
|
A3/A2
|
0.1
|
0.2
|
0.3
|
0.4
|
0.5
|
0.6
|
0.7
|
0.8
|
0.9
|
1.0
|
|
C
|
232
|
51
|
20
|
9.6
|
5.2
|
3.1
|
1.9
|
1.2
|
0.7
|
0.5
|
(3) 급격히 유로가 확대되는 경우



(4) 굽힘관의 경우


표. 엘보 각도에 따른 손실 계수 값
|
각도 θ
|
20
|
40
|
60
|
80
|
90
|
100
|
110
|
120
|
130
|
|
ζ
|
0.072
|
0.286
|
0.635
|
1.112
|
1.392
|
1.697
|
1.697
|
2.375
|
2.741
|

(5) 분기관의 경우
분기관은, 분류와 합류, 주관측과 지관측에서 사고 방식이 다릅니다. 아래 표에 손실 계수의 값을 기재하고 있으므로 참고하십시오.
표. 분기관의 압력 손실의 계산법의 차이(ζ의 값은 아래 표의 실험값을 참조)

표. 분기관의 손실 계수 ζ의 값(실험값)
참조 : 유체 고체 수송 공학 핸드북 (발행 : 아사쿠라 서점)


(6) 밸브 등의 조절 기기
밸브는 밸브 개도에 따라 유량을 변화시킬 수 있으므로 압력 손실이 가변이라고 해석할 수 있습니다.
그러나 실제의 사용방법을 상정하면, 조절을 실시하지 않는 밸브(전개로 사용하는 밸브)의 경우는, 이하의 표에 의해 배관의 길이로 치환했을 경우의 상당 길이 Le를 다르시·와이즈바흐의 식(식 1)로 산출하게 됩니다.
※조절밸브의 경우는 그 조절밸브의 압력손실=전압력손실×(0.4~0.5)을 상정하는 것을 추천합니다.
표. 상당 길이 Le의 값
(표의 값은 나사체결 접속시의 값이므로, 플랜지 접합의 경우는 표의 값에 0.9를 곱한다)

현장에서는 쉽게 배관 사이즈를 확인하고 있다
배관 사이즈를 결정할 때, 상기의 압력 손실을 모두 계산해 구하는 것이 가장 확실한 방법입니다만, 조금 번거롭다고 생각하지 않습니까?
Excel에서 쉽게 계산서를 작성하는 것은 간단하지만, 현장이나 타격 중의 손 계산에서는, 좀처럼 간단하게 계산은 할 수 없습니다.
그 때문에, 수 계산으로 세세하게 배관 지름을 산출해도 됩니다만, 가능한 한 간단하게 산출하는 이하의 수법으로 산출해 배관 지름을 결정하고 있는 것이 많습니다.
간략한 검토방법: 관내의 유속이 하기의 값이 되도록 배관 지름을 정한다.
➀ 액체의 경우는 1m/s~2m/s 정도
➁가스의 경우는 10m/s 정도
③증기의 경우는 20m/s 정도
유체의 비중이나 점도에 따라, 압력 손실 값의 차이는 있지만, 배관 내의 유속이 상기의 속도이면, 경험상, 압력 손실이 그다지 신경이 쓰이지 않는 정도이기 때문에, 간단하게 배관 직경이 결정될 수 있습니다.
응축수를 연속 배출 시키는 "고정오리피스식 스팀트랩 O-TRAP" ↓
![]() |
![]() |
O-TRAP 관련 상담 문의 ;
O-TRAP 관련 홈페이지 : http://k.o-trap.cn
O-TRAP 관련 E-mail 문의처 : tjchung@naver.com
O-TRAP 관련 Tel 문의처 : 070-7747-8290
'스팀트랩(드레인배출기,O-Trap)' 카테고리의 다른 글
| 압력 손실의 원인과 대책 (1) | 2024.02.27 |
|---|---|
| 현장의 압력 손실을 억제 대책의 중요 포인트와 계산 방법 (2) | 2024.02.27 |
| 증기압 저감에 수반하는 증기 배관으로부터의 방열 효과에 대해서 (1) | 2024.02.27 |
| 증기 수송관으로부터의 방열에 대해서 (0) | 2024.02.27 |
| 증기압력을 내렸을 때의 에너지 절약 효과를 구하는 방법은? (1) | 2024.02.27 |

