제한 오리피스 구멍 지름(직경)의 계산 절차
이번에는 제한 오리피스 구멍 지름의 계산 방법에 대해 설명해 보겠습니다.
제한 오리피스(restriction orifice)는 고압의 유체를 감압할 때 유량을 조절하고 싶은 경우에 이용되며, 제어 밸브(CV)와 조합하여 사용하거나 비용면에서 제어밸브 대신 사용하기도 합니다. 특히 가스(GAS)나 증기 배관(Steam Pipe)에서 많이 이용되는 경향이 있습니다.
이번 블로그에서는 가스, 증기 배관의 제한 오리피스 구멍 지름의 계산 절차(방법)에 초점을 맞추어 설명해 보겠습니다.
계산 절차(순서,방법)는 다음과 같습니다.
제한 오리피스 구멍 지름의 계산 절차
① 배관 직경, 유량, 압력(감압 전, 감압 후)을 지정한다.
② 배관 유속 v [m/s]를 계산한다
③ 저항계수 K를 계산한다.
④ 조리개 직경 대비 β (오리피스 구멍 지름/배관 직경)을 계산한다.
⑤ 오리피스 구멍 지름을 계산한다.
제한 오리피스의 구멍 지름의 계산 절차는 다양한 방법이 있지만, 이 계산 절차는 오직 계산기로만 계산할 수 있는 방법입니다.
이 계산절차에서 어려운 것은 ③, ④의 단계입니다. 다음 항목으로 부터 이러한 순서(절차)에 대해 상세히 정리해 보겠습니다.
목 차
1 저항 계수 K의 계산
2 조리개 직경 대비 β 의 계산
3 계산 예
4 정리
1. 저항 계수 K의 계산

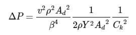
JIS Z 8762에서, 제한 오리피스 전후의 차압 ΔP와 유량 Q의 관계식은 다음과 같습니다.

여기에서、

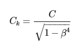
로 두고 정리하면、

입니다.

입니다. 이것을 위 식에 대입하여、

로 나타낼 수 있습니다.


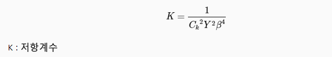
이로써 차압, 밀도, 배관 유속에서 저항 계수 K 가 계산할 수 있게 되었습니다.
2. 조리개 지름비β의 계산
저항 계수 K와 조리개 직경 대비 β 와의 상관 관계는 다음의 그래프와 같은 관계 성립하는 것으로 알려져 있습니다.

비열 비 k=1.4의 경우에 성립되는 관계이지만, k=1.3 에서도 대체로 성립됨을 알 수 있으며, 통상 사용하는 가스의 비열 비 k=1.3 - 1.4 의 범위에서는 적용 가능합니다.
위의 그래프를 수식으로 표현하면 다음과 같습니다.

이를 통해, 저항 계수 K에서 조리개 직경 비율 β 를 계산할 수 있게 되었습니다.
따라서, 오리피스 구멍 지름 d는

의 관계에서 배관 직경 D를 이용하여 계산됩니다.
3. 계산 예
어떤 증기 배관을 감압하는 경우의 제한 오리피스 구멍 지름을 계산하는 것을 생각합니다.
전제 조건은 다음과 같습니다.
전제조건
배관 직경 D : 6인치 (D = 0.15m)
증기 유량 Q : 1.5 kg/s
밀도 ρ : 2.5 kg/m3
상류측 압력 P1 : 450 kPa
감압 후 압력 P2 : 135 kPa
우선, 배관 유속 v [m/s] 를 계산하면,

따라서, 오리피스 구멍 지름 d는
d = βD = 0.381 × 0.15 = 0.057
에서 0.057m 로 구할 수 있었습니다.
4. 마무리
이번 내용에서는 제한 오리피스 구멍 지름의 계산 절차에 대해 설명했습니다.
제한 오리피스의 구멍 지름은 다음 순서로 구할 수 있습니다.
제한 오리피스 구멍 지름의 계산 절차
① 배관 직경, 유량, 압력(감압 전, 감압 후)을 지정한다.
② 배관 유속 v [m/s]를 계산한다
③ 저항계수 K를 계산한다.
④ 조리개 직경 대비 β (오리피스 구멍 지름/배관 직경)을 계산한다.
⑤ 오리피스 구멍 지름을 계산한다.
이 내용이 참고가 되길 바랍니다.
상담 문의처;
E-mail: tjchung@naver.com,
Tel: 070-7747-8290,
URL: http://k.o-trap.cn
'스팀트랩(드레인배출기,O-Trap)' 카테고리의 다른 글
| 스팀라인에서 기존 전통 스팀트랩 과 고정오리피스식 스팀트랩(O-TRAP)과의 20년 라이프 사이클(수명주기원가) 비용 비교 (0) | 2021.07.12 |
|---|---|
| 배관 오리피스 계산 방법과 계산 예 (배관 내를 흐르는 물의 오리피스 이후의 유량 구하기) (0) | 2021.06.10 |
| 오리피스의 유량 계산 방법 (3) | 2021.06.06 |
| 2축 디스크 건조기(CD Dryer), Paddle Dryer, 2축 컷 더블 디스크 건조기(Cut Double Disc Dryer)와 O-TRAP의 영향 (0) | 2021.05.21 |
| O-TRAP (스팀 트랩) 기종 선정을 위한 응축수 발생량 계산식 (파악) (0) | 2021.04.19 |